늘벗골이야기
공지사항
복지관소식
월간 일정표
고객의 소리
노인복지
이용안내
권익옹호
건강
여가문화
사회참여
지역사회보호
후원 & 자원봉사
후원안내
후원신청
자원봉사 안내
자원봉사 신청
내덕노인복지센터
주간보호센터
이용안내
프로그램 안내
공지사항
센터소식
복지관 소개
인사말
법인소개
기관소개
시설안내
조직도
오시는 길
청주내덕노인복지관
늘벗골이야기
공지사항
복지관소식
월간 일정표
고객의 소리
노인복지
이용안내
이용안내
프로그램 수강안내
이달의 메뉴
권익옹호
건강
건강증진사업
급식지원사업
여가문화
문화교실
자율이용프로그램
사회참여
지역사회보호
지역사회보호
지역복지연계
후원 & 자원봉사
후원안내
후원신청
자원봉사 안내
자원봉사 신청
내덕노인복지센터
주간보호센터
이용안내
프로그램 안내
공지사항
센터소식
복지관 소개
인사말
법인소개
기관소개
시설안내
시설현황
시설물
조직도
오시는 길
늘벗골이야기
희망과 행복의 100세 시대를 열어갑니다.
늘벗골이야기
같은 레벨 메뉴 보기
늘벗골이야기
노인복지
후원 & 자원봉사
내덕노인복지센터
복지관 소개
공지사항
같은 레벨 메뉴 보기
공지사항
복지관소식
월간 일정표
고객의 소리
공지사항
늘벗골이란?
‘항상 정겨운 벗으로 남을 수 있는 친구 같은 장소’ 라는 순 우리말로서,
청주내덕노인복지관은 소통과 나눔, 공감이 어우러지는 어르신들의 편안한 쉼터이자 행복 나눔 공간을 의미합니다.
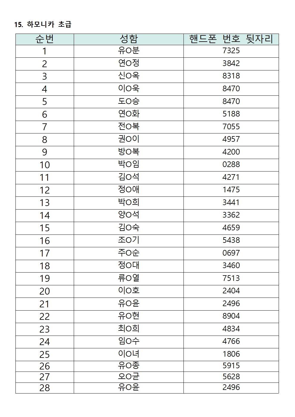
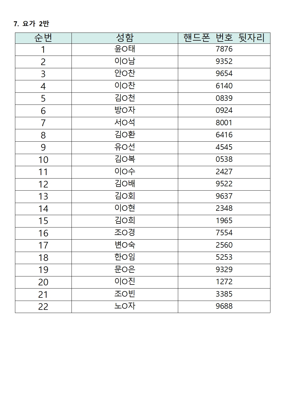
2025년 늘벗골 문화교실 추첨 결과 공지
복*자
|
2025-01-22
|
조회수 : 267
다음글
2025년 충북사회복지공동모금회지원사업 라탄 등공예사 지도사 양성과정 참...
이전글
2024년 제7차 직원 공개채용 서류전형 합격자 및 면접 안내
목록
댓글 0개